供稿:郝继光 编辑:杨丽静

2019年2月5日,由age动漫
郝继光讲师、胡更开教授和加拿大西安大略大学Floryan教授合作在物理学顶级的学术期刊《Physical Review Letters》(IF="8.839)上发表了题为《Droplet" splashing on an inclined surface》的研究论文。age动漫
郝继光讲师为该论文第一和通讯作者,age动漫
2018级硕士研究生鲁杰、2015级本科生李辽南及2017级硕士研究生吴志鹄分别为第二、第三和第四作者,age动漫
为论文的第一单位和唯一通讯单位,该工作得到了国家自然科学基金和“111”引智计划的支持。
当液滴以高于临界值的速度撞击干燥固体表面时,将形成飞溅(破碎,形成二次小液滴)。该现象广泛存在于自然界及一系列工农业、航空航天应用中,实例包括雨滴撞击岩石土壤、气溶胶形成、3D打印、喷涂、冷却、喷墨打印、农药喷洒、液体燃料燃烧、超冷大液滴撞击飞机翼面成冰等。根据应用场景的不同,其作用可利可弊,因此对其调制存在广泛的需求。然而,虽然历经逾140年的研究,液滴飞溅的形成机理由于其高度瞬态的特性和复杂多变的影响因素至今尚未形成共识,仍吸引着大量学者从实验、数值模拟和理论分析不同角度开展研究。
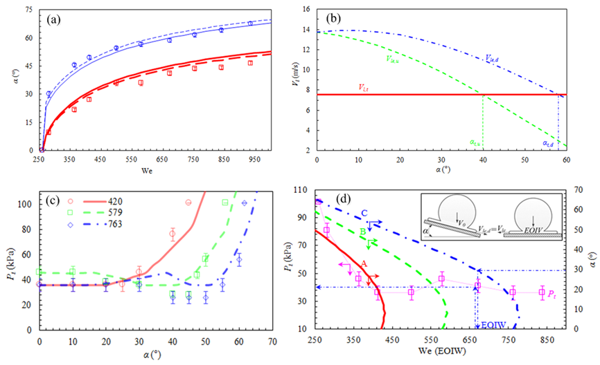
作为吸引人同时也是难理解的流体力学现象,前人针对液滴飞溅的研究主要集中于垂直撞击,而自然界和一系列工程应用中的大部分撞击都是倾斜的,液滴撞击倾斜表面引起非对称飞溅并最终抑制飞溅的机理尚未被理解。论文通过在真空室中开展液滴倾斜撞击实验,研究了液滴在不同环境压力下撞击倾斜表面的飞溅现象(如图1所示),获得了一系列条件下抑制液滴飞溅所需的临界条件(如图2中的符号所示),通过对撞击过程的机理分析,建立了一个理论模型,模型计算结果可以很好的吻合一系列条件下的实验结果(如图2中的曲线所示)。上述结果清楚地解释了液滴在倾斜表面形成非对称飞溅的机理,同时,实验研究和理论分析均表明液滴撞击后形成的液膜前端速度决定了液滴是否发生飞溅,这为液滴飞溅机理的进一步研究提供了新的思路和方向。

图1 表面倾角和环境压力对液滴飞溅的影响
图2 液滴飞溅临界参数实验结果(符号)及理论模型计算结果(曲线)
论文链接://journals.aps.org/prl/abstract/10.1103/PhysRevLett.122.054501
【通讯作者简介】
郝继光讲师2007年由age动漫
博士毕业留校从事教学科研工作,期间于2015年-2016年访问加拿大英属哥伦比亚大学。主要研究方向为高速多相流动和界面流动,近年集中在液滴动力学相关研究领域,研究成果发表在包括《Phys. Rev. Lett.》、《Phys. Fluids》等国际顶级学术期刊上。
(审核:曲虹)