学科竞赛和科技创新活动是当代大学生的重要成长平台,学校为鼓励学生积极参与科技创新活动,每年给学院下拨科技竞赛及特长生保研推免名额。age动漫
科技竞赛及特长生推免遴选办法如下:
一、学院按照每年学校分配的推免名额选拔,最终等额上报学校;
二、本科期间获得经学校认可或由学院组织专业同行认可的各类大学生学科知识竞赛国际级或国家级二等奖以上,并且获奖比例原则上在参赛学生总数的20%以内的学生均有资格报名;
三、对于在某一学科领域确有特殊专长,并做出一定成绩的学生,如有重大科研成果、核心期刊发表论文、出版专著、获得专利等学生有资格报名;
四、被推荐的学生推荐时已获得教学计划规定中全部应得学分,且按规定计入保研成绩排名的课程和学生交流学习的课程无不及格记录。到推荐时为止,已达到学校对学生国家大学英语四级考试的分数要求(大于等于425分),并应保持在本专业成绩排序前35%以内;
五、学院将根据报名学生的获奖数量、单项奖含金量、获奖人在团队中排名、专业学习成绩排名、综合表现排名等综合因素确定最终上报学校的拟推免名单;
一般情况下,学院经过量化计算,对申请此类推荐免试研究生且满足基本条件的学生进行测评排序,按照排序结果拟定名单上报学校,根据学校批复的名额依次确定。对于特殊专长人才,如在某一学科领域确有特殊专长并做出一定成绩的学生,或在重要活动中为学校争得显著荣誉等,经学院推荐上报学校裁定。
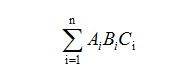
1.对于科技竞赛情况:
科技竞赛特长量化计算公式为:

其中:
1)A为获奖等级分值

对于不设等级而设名次的竞赛,第一名相当于特等奖,第二名至第三名相当于一等奖,第四名至第六名相当于二等奖;赋值的最低等级原则上在参赛总数的20%以内,若未达到则向更高一级递推。各项等级以获奖证书或组织方出具的正式文件为准。
2)B为同一项目类学生排序系数
对于同一项目认可不超过三名学生,排序以指导教师团队出具的书面说明为准。排名第一、第二、第三的学生排序系数分别为1、0.5、0.3。
3)C为竞赛项目的影响因子
结合学院实际情况,将以下各项竞赛分别赋予一定影响因子:

对于以上未涉及到的项目,若其确实具备较高水平且对学院人才培养、学科建设具有较为显著推动作用,经学院认定后可追加赋值;学院推免工作领导小组组织相关专家根据以上比赛项目当年比赛规模适当调整其影响因子。
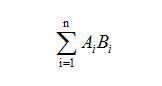
2.对于发表论文情况:
科技竞赛特长量化计算公式为:

其中:
A为发表论文的分值:
2)B为论文学生排序系数
对于论文只认可学生为第一作者或者通讯作者的论文。第一作者和通讯作者为同一学生时,学生赋值系数为1;学生为第一作者,教师为通讯作者时,学生赋值系数为1;第一作者和通讯作者分别属于两个学生时,学生赋值系数分别为0.5。教师为第一作者,学生为通讯作者时,赋值系数为0。
六、科技竞赛及特长生推免遴选遵循往年无可比性、学院与学院之间无可比性,按照当年学院报名情况确定的原则。
七、遇到其他特殊专长的情况,由学院组织专家委员会进行认定审核。专家委员会由学院院长、书记和各本科专业责任教授组成。
age动漫
2018-09